1 اعظم انتظاري هرسيني،2 رضوان بهفر،3 زهرا کراني
مربي دانشگاه پيام نور سنقر(مولف رابط)
کارشناسي ارشد دانشگاه اراک
مربي دانشگاه پيام نورسنقر
چكيده
در اين مقاله تاثير نمك ها بر خواص سيمان چاه نفت كه تحت تاثير دما و فشار بالا عمل امده است مورد مطالعه قرار گرفته است نتايج در بر دارنده عمل سيمانكاري مفيد به همراه دوغاب سيمان حفاري نمكين است.
سوالات تحقيق:
در اين مقاله تاثير نمك ها بر خواص سيمان چاه نفت كه تحت تاثير دما و فشار بالا عمل امده است مورد مطالعه قرار گرفته است.
روش تحقيق:
اجزا شيميايي و كاني ها ي سيمان در جدول 1 اورده شده اند كه بوسيله روش بوگ محاسبه شده است .نمونه ها بعد از مخلوط در اندازه 3*3*3 ساخته ميشوند و در درجه سلسیوس 93 و20.7MPa.در اطاق رطوبت تحت اتمسفر عمل اوري ميشوند.مقدار نمك براي عمل اوري در آب همانند اب مخلوط است . دما به اندازه مقدار مطلوب 2 ساعت بالا برده شد و در زمان هاي عمل اوري به ترتيب 4 -8 -12 -24 -48 -72 ساعت نگه داري شد.
پیشنهاد میکنیم محصول را هم بررسی کنید.
نتيجه گيري:
-زمان بندش هرز روي دوغاب و اب ازاد دوغاب نمكي سيمان تحت تاثير مقدارنمك است مقدار كم نمك نقش تند كننده هيدراسيون و مقدار بالا نمك نقش كند كننده هيدراسيون را دارد.مقدار بيشتر از 5% نمك استحكام دوغاب نمكي سيمان در 90 و 160 درجه سلسیوس كاهش ميابد به وسيله افزايش مقدار نمك كه با اثر مقدار نمك بر درجه هيدراسيون موافق هست مطابقت دارد.
كلمات كليدي:سيمان چاه نفت . كلاس g .نمك NaCl. هيدراسيون . استحكام . بندش
مقدمه
در يك لايه نمكي سيمانكاري دوغاب سيمان با اب شيرين اماده ميشود كه البته داراي منافذي خواهد بود كه از حل شدن مقدار زياد نمك در دوغاب پديد امده است بنابرين هر دو دوغاب با نمك كم و نمك زياد معمولا در اين محدوده استفاده ميشود براي مثال نمك NaCl را ميتوان كمتر از 15 %وزن براي مقاير كم و هم بيش از 36 %به صورت اشباح استفاده كرد .
خواص دوغاب نمكي تازه از قبيل زمان بندش رئولوژي و هرزروي دوغاب و اب ازاد و... كاملا متفاوت از دوغاب معمولي است نمك ها همچنين استحكام دوغاب رو تغيير ميدهند اين موضوع باعث بوجود اوردن شرايط سخت انتخاب پارامتر هاي تكنولوژي ميگردد. ون كلف اثر مقدار نمك را روي خواص دوغاب نمكي مطالعه كرد و ويسونات سيمانكاري با دوغاب نمكي را مطرح كرد كار سيستماتيكي حاضر اثر مقدار نمك را روي خواص دوغاب سيمان وهمچنين فرايندهيدراسيون و مواد دوغاب نمكي سيمان را مطالعه ميكند وتوضيح مي دهد.
مواد اوليه و روش هاي ازمايش
اجزا شيميايي و كاني هاي سيمان در جدول 1 اورده شده اند كه بوسيله روش بوگ محاسبه شده است (سيمان مقاوم در برابر سولفات ها).
|
Loss
|
SIO2
|
AL2O3
|
Fe2O3
|
CaO
|
MgO
|
SO3
|
TiO2
|
Na2O
|
K2O
|
other
|
|
0.56
|
22.5
|
3.44
|
4.7
|
65.04
|
1.28
|
2.55
|
0.2
|
0.52
|
0.44
|
0.6
|
|
|
|
|
|
C3S
|
C2S
|
C3A
|
C4AF
|
|
|
|
|
|
|
|
|
56.5
|
1.17
|
14.29
|
18.02
|
|
|
|
جدول 1 اجزا شيميايي و كاني ها ي سيمان
براي سيمان كلاس G در همه موارد 0.44 .
درصدهاي نمك عبارتند ار 0% -5% - 15%-25% و 36%.
زمان بندش اب ازدست دادگي و اب ازاد براي همه دوغاب ها بر اساس استاندارد API حساب ميشوند.
نمونه ها بعد از مخلوط در اندازه 3*3*3 ساخته ميشوند و در 93 و20.7MPa.در اطاق رطوبت تحت اتمسفر عمل اوري ميشوند.مقدار نمك براي عمل اوري در آب همانند اب مخلوط است . دما به سلسیوس اندازه مقدار مطلوب 2 ساعت بالا برده شد و در زمان هاي عمل اوري به ترتيب 4 -8 -12 -24 -48 -72 ساعت نگه داري شد.براي نمونه عمل اوري شده در درجه سلسیوس160 وMPa20.7 مشخصات دوغاب عبارتند از سيمان/شن/اب =1/0.4/0.6. مقدار نمك هم مانند نمونه عمل اوري شده در درجه سانتی گراد 93است.
شرح ازمايشها و دستگاه هاي مورد استفاده
آزمايش آب آزاد
زماني كه دوغاب سيمان در شرايط ايستا باشد ممكن است بر اثر رسوب ذرات سيمان اب ازاد ايجاد شود ازمايش اب ازاد در يك استوانه مدرج 250 ميلي ليتري انجام ميشود دوغاب سيمان تهيه شده بر اساس استاندارد API RP 10 در يك گرانروي سنج تحت دماي استاتيك ته چاه به مدت 20 دقيقه بهم زده درون استوانه ريخته ميشود كه بايد طبق استاندارد كمتر 5 سي سي باشد كه چنانچه اب ازاد دوغاب نيز اضافه شود اثرات مخرب بر جاي مي گذارد مخصوصا در چاه هاي كج و افقي مسيري مناسب براي مهاجرت گاز فراهم مي كند
آزمايش نيم بندش
مدت زماني است كه دوغاب سيمان به حالت سيال باقي مانده و قابل پمپ كردن مي باشد و در ازمايشگاه به مدت زماني اطلاق ميشود كه ويسكوزيته سيمان BC. به 70(cement consistency) برسد در اين ازمون ها دماي محيط F 80BHCT, برابربا F.153وفشار PSI 5000 بوده است كه افزودني ها در اين زمان بسيار موثرند و retarder اين زمان را افزايش در صورتي كه accelerator اين زمان را كاهش ميدهد
آزمايش مقاومت تراكمي
در طول عمليات سيمانكاري . حفاري چاه متوقف شده و پس از اين كه سيمان حداقل مقاومت تركمي PSI500 را به دست اورد قادر خواهند بود عمليات حفاري را از نو شروع كنند بنابراين مقاومت تراكمي فاكتور مهمي در.WOC(wait on cement) است.
مقاومت تراكمي توسط دستگاه UCA بر طبق روش هاي API RP 10 . در شرايط BHST=100.و فشار 3000PSI است كه ثانيه به ثانيه مونيتور ميشود.
مدت زماني كه طول ميكشد تا به مقاومت تراكمي دلخواه برسيم هم متاثر از افزودني ها خواهد بود كه بر هيدراسيون و ساختار سيمان اثر مي گذارد.
كه بايد در ازمايش هاي متعدد با افزودني هاي مختلف تاثير منفي يا مثبت افزودني بر هيدراسيون و خواص مكانيكي براي جلوگيري از مهاجرت گاز بررسي شود.
آُزمايش افت صافي
يكي از عواملي كه باعث كاهش اب سيمان در داخل چاه و در نتيجه فشار هيدروستاتيك ان ميشود افت صافي در اثر مواجهه با محيط متخلخل و تراواست كه مي تواند يكي از عوامل فوق العاده موثر در مهاجرت گاز باشد.
تست هاي افت صافي توسط دستگاه MODIFIED CHANELER STIRRED FLUID LOSSTEST انجام ميشود چنانچه با افزودني افت صافي كاهش پيدا كند ميشود از مهاجرت گاز جلوگيري كردكه طبق استانداردAPI.دوغاب سيمان ميبايست افت صافي كمتر از min 30/ cc 50 داشته باشد.
نتايج
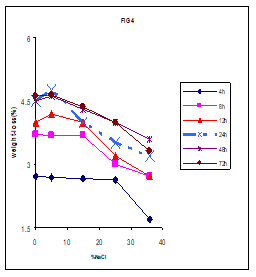
تاثير مقدار نمك بر خصوصيات دوغاب سيمان: شكل 1 نشان ميدهد زمان بندش دوغاب سيمان در 52 درجه سلسیوس ست.
نتيجه هرز روي دوغاب و اب ازاد در شكل 2 و 3 نشان داده شده است در مقدارهاي كم نمك
. اثر سريع كننده گيرش
زمان بندش كوتاه و كاهش هرز روي دوغاب و اب ازاد را نشان ميدهدو در مقدار هاي بيشتر 10-15% و بالاتر اثر نمك
. معكوس ميشود.
دايموند به ماده
پرداخت و تند كننده ها تشكيل
و ژل
.را سريع ميكند اما محصولات را تغيير نميدهند . كندو سرعت نفوذ
را 3برابر سرعت
حدس زد. يانگ
شبيه
و براي استحكام حلاليت نمك كلسيم در محلول غلظت كلسيم را پايين نگه داشت بنابراين تجزيه
تند كننده است .كندكننده سيمان در مقدار زياد
قابل استنباط است.


Fig1 -اثر مقدار نمك بر زمان بندش دوغاب fig2-اثر نمك بر هرز روي دوغاب


Fig3 -اثر مقدار نمك بر اب ازاد fig4-اثرمقدارنمك بر اب دهي
در 93 درجه سلسیوس
ُتاثير مقدار نمك بر درجه هيدراسيون

مقدار تشكيل
سرعت هيدراسيون را نشان ميدهد نويسنده تعيين كرد تشكيل
در سيمان حفاري در طول هيدراسيون به وسيله وزن كم در برابر وزن دوغاب سخت شده روي يك اساس مشتعل شدن در 800 و بالاتر زماني كه
. ذوب ميشود و تبخير ميگردد. نتيجه براي دوغاب سيمان عمل اوري در 93 درجه سلسیوس شكل 4 نشان داده شده است براي مثال با 5%مقدار نمك .در تشكيل تفاوتي با نمونه مخلوط با اب ندارد اما مقدار زياد نمك موجب كاهش
ميشود
تاثير مقدار نمك بر استحكام دوغاب سيمان سخت شده
استحكام دوغاب سخت شده سيمان بسيار حياتي مهم در نگه داشتن و محافظت لوله گذاري و سيمانكاري حلقوي چاه است استحكام دوغاب سخت شده در دماي درجه 93 و 160 و فشار
در شكل 5 نشان داده شده است استحكام 5% نمونه نمكي قابل مقايسه هست با نمونه ي مخلوط با اب به تنهايي.
زماني كه با مقدار بيش از 5%نمك استفاده شود در واقع استحكام كاهش مي يابد
در نمونه 160 و
7 و 20 استحكام با افزايش مقدار نمك در دوره عمل اوري طولاني كاهش مي يابد
استحكام پايين نمونه نمكي عمل اوري در 93 درجه سلسیوس نتيجه هيدراسيون كم رخ ميدهد
استحكام كم نمونه عمل اوري در 160 درجه سلسیوس به علت فاز جديدي كه در دماي بالا تشكيل شده قابل توضيح است
غلظت بالاي نمك و افزودني ها در كاهش استحكام ممكن است نتيجه تشكيل رسوب
باشد

Fig5-زمان در برابر استحكام در 93 درجه fig6- زمان در برابر استحكام در 160درجه
نتيجه گيري
1-زمان بندش هرز روي دوغاب و اب ازاد دوغاب نمكي سيمان تحت تاثير مقدارنمك است مقدار كم نمك نقش تند كننده هيدراسيون و مقدار بالا نمك نقش كند كننده هيدراسيون را دارد
2-مقدار بيشتر از 5% نمك استحكام دوغاب نمكي سيمان در 90 و 160 درجه سلسیوس كاهش ميابد به وسيله افزايش مقدار نمك كه با اثر مقدار نمك بر درجه هيدراسيون موافق هست مطابقت دارد.
پیشنهاد میکنیم محصول را هم بررسی کنید.
Refrence
1-R.P.A.Van Kleef.SPE/IADC 18620,1989
2-B.J.Whisonant, P.J.Rae,L.V.Ramsey,SPE17512,1988.
3-S.Dimond,Accelerating Admixtures,Chapter 2.pp. 17-31 of concrete International 1980,construction press,Lancaster,England,1980.
4-R.Kondo,M.Daimon ,E.Sakai and H.Ushiyama ,J.Appl.Chem. Biotechnol. ,27,pp.191-197 (1977)
ضميمه
روابط بوگ

Salt effect on the oil well cement hydration
1 Azam entezari,2 rezvan behfar, 3 zahra korani
Instructor Songhor payam Noor University (author of the interface)
- MS University of Arak
- Instructor Songhor payam Noor University
Abstract
In this paper, the effect of salt on the properties of oil well cement under high pressure and temperature effect have been made has been studied cement beneficial action on the holder with cement slurry drilling is salty.
RESEARCH INQUERIES
In this paper, the effect of salt on the properties of oil well cement under high pressure and temperature effect have been made has been studied.
RESEARCH METHOD
Minerals and chemical components of cement are given in Table 1, which is calculated by the method of Bog. Samples of mixed size 3 * 3 * 3 and 93 are made and 20.7MPa. In the room under atmospheric moisture curing are . the amount of salt for curing in water, like water, is mixed. Temperature as the desired amount was raised two hours of curing time, respectively 4 -8 -12 -24 -48 -72 hours will hold.
Conclusion:
- Time harden weed free water on the grout and cement slurry salt is slightly affected by salt role whetstone high amount of salt hydration and hydration is the role of moderator. Much more than 5% salt salt strength cement slurry and 160 in 1990 reduced by increasing the amount of salt that salt is the degree of hydration conforms to agree.
Key words: oil well cement. Class G. Salt NaCl. Hydration. Strength. harden
C-S-H